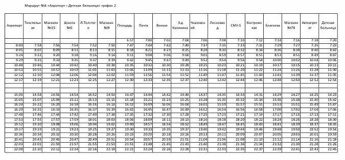
Учитывая обращения кинешемцев, скорректирован график движения и количество автобусов по маршруту №4 через «Менделеева» и через «Лесозавод». С 6 февраля 2023 года через «Менделеева» будет проходить 3 автобуса, по нижеуказанным графикам движения.
Обновлённое расписание движения автобусов по маршруту №4 будет размещено на сайте администрации города в разделе «Расписание движения общественного транспорта» 3 февраля.
![]() |
Читай и комментируй в телеграм-канале Кинешемец.RU |
Автор: Кинешемец.RU
Версия для печати
Просмотров: 5745















Мнение читателей
Алекс - 04.06.2024
Молодцы, ребята! Так держать!добрый - 04.06.2024
пляж без песка.смехдержаваПатриот - 04.06.2024
Особенно жду на фестиваль Францию. Всегда...Ннн - 04.06.2024
Молодцы!!!2222 - 03.06.2024
А 15 летним на дороге вообще место? Они правил...